Quiz Statistik dan Probabilitas Rusdian Syah Hasibuan
Soal Quiz!!! Silahkan dicari Tabel Distribusi Frekuensi Data Jamak, Nilai Mean, Median, Modus, Quartil dan Desil dari Soal dibawah ini ..
Soal NPM Genap
18 16 24 78 82 43 46 77 70 83 82
45 63 76 39 81 85 45 67 66 76 32
34 49 53 67 52 59 67 75 77 79 82
52 19 24 24 23 32 29 30 38 65 23
19 18 23 25 26 29 33 38 37 35 39
Penyelesaian :
- J = Xmaks – Xmin - = 85 – 16 - = 69 
- K = 1 + 3.3 log n - = 1 + 3.3 (log55) - = 1 + 3.3 (1.74) - = 1 + 5.7 - = 6.7 - = 7 
- I = J/k - = 69/8 - = 9.8 - = 10 
- Mean (Rata-Rata)
- Median (Nilai Tengah)
adalah Kelas Ke 3.
    

Maka, 
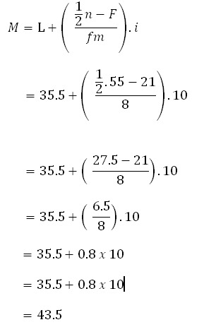
    Tepi bawah = L = BB Kelas Median - 0,5
                              = 36 - 0.5
                              = 35.5
    Interval = I = (BA - BB) + 1
                       = (45 - 36) + 1
                       = 10
    Karena Kelas median adalah kelas ke 3, Maka Kita gunakan nilai F dengan nilai frekuensi kumulatif  sebelum kelas median yaitu : F=21 dan fi=8
- Modus (Nilai Paling Sering Muncul)
#Modus 1
Tepi bawah = L = BB Kelas Modus - 0,5
                              = 16 - 0.5
                              = 15.5
    Interval = I = (BA - BB) + 1
                       = (25 - 16) + 1
                       = 10
    b1 = fi (Modus) - fi (Modus-1)
         = 12-0
         = 12
    b2 = fi (Modus) - fi (Modus+1)
         = 12-9
         = 3
#Modus 2
 
 
Comments
Post a Comment